Table des matières
URL de cette page : https://rcp5.ouvaton.org/alim-capacitive
Calendrier des formations et documentation
Électronique : alimentation capacitive
Objectif : comprendre le fonctionnement d'une alimentation capacitive assez simple,
en commençant par quelques composants de base (résistance, condensateur, diode, diode Zener).
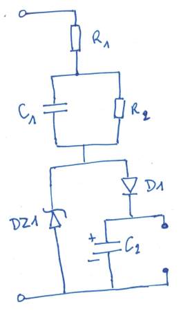
On a pris comme référence le schéma ci-contre, tiré de astuces-pratiques,
Schéma d'un circuit électronique
Un schéma tel que celui ci-dessus est fait pour être lisible, avec souvent certaines conventions.
La disposition véritable des composants dans l'espace, et les modes de connexion utilisés, peuvent varier.
Pour faciliter la compréhension, redessinons le schéma
en plaçant la première borne d'alimentation en haut du schéma, et la deuxième borne d'alimentation en bas.
Du haut vers le bas du schéma, la tension chute par étapes, à chaque traversée d'un composant, et le courant se répartit en différentes branches s'il y a lieu.
Composants utiles dans ce circuit
Résistance
- loi d'Ohm
- en pratique : une pile 1.5V, une résistance, un multimètre
- mesure de tension, de résistance, de courant
Condensateur
- le condensateur est comme une batterie de très faible capacité
- le condensateur le plus simple : des surfaces métalliques face à face (condensateur variable d'une radio)
- condensateur plus habituel : structure enroulée (comme un gâteau roulé)
- analogie avec un réservoir
- loi dU/dt = I / C analogue au remplissage d'un réservoir
- surface de base analogue à la capacité C(F)
- hauteur d'eau analogue à la tension U(V)
- volume d'eau analogue à la charge Q(Coulomb)
- en pratique : charge d'un condensateur 1mF à 3V puis décharge à travers une LED et une résistance
- mesure d'un condensateur 1mF et d'un condensateur 1muF et 220nF au multimètre en mode condensateur
Diode
La diode fonctionne comme une valve (qui laisse passer le courant dans le sens du symbole et qui le bloque dans le sens inverse), avec une tension minimale pour passer.
Fonctionnement du circuit
Condensateur série C1
Valeur typique inférieure à 1muF.
À chaque alternance :
- la tension est appliquée (bornes blanches)
- cela génère un courant (flèches)
- ce courant accumule sur les faces du condensateur des charges du même signe que la tension appliquée
- ces charges font monter la tension entre les faces du condensateur
- lorsque cette tension est égale à la tension appliquée, le courant s'arrête
- la tension appliquée change de sens
- etc
Bilan :
- La charge du condensateur (équivalent du volume d'un réservoir) est égale à la tension (U = 230V) multipliée par la capacité du condensateur (C = 1muF = 0.001mF), soit Q = 230muC = 0.23mC
- Cette charge est apportée ou retirée à chaque demi-alternance de durée t = 0.01s.
- Le courant a donc une valeur typique égale à la charge Q = 0.23mC divisée par le temps t = 0.001s, soit I = 23mA.
Bref, le condensateur d'entrée est utilisé ici comme un limiteur de courant. Il doit supporter la tension du secteur (analogue à la hauteur max du réservoir).
Diode D1
Ici, la diode permet de diriger vers l'aval uniquement les alternances positives, afin d'obtenir une tension continue.
Condensateur de lissage C2
Le gros condensateur (plusieurs centaines de muF), polarisé comme une batterie, stabilise la tension :
- le circuit amont lui apporte périodiquement de la charge
- le circuit branché en sortie lui prélève de la charge.
Diode Zener
La diode Zener DZ1 joue ici deux rôles :
- lors des alternances négatives, elle est passante dans le sens direct (du bas vers le haut dans le schéma vertical) et permet la charge du condensateur série dans le sens correspondant (sinon il resterait constamment chargé dans le sens de la première diode et dès la deuxième alternance il n'y aurait plus de courant).
- lors des alternances positives, elle absorbe la fraction nécessaire du courant provenant du condensateur série qui permet à la tension de rester constante à ses bornes.
Résistances
La résistance R1, en série avec le condensateur C1, a pour rôle de limiter le courant au démarrage. Au moment du branchement, le condensateur est déchargé et la tension externe a une valeur quelconque donc en général au moins plusieurs dizaines de Volts (jusqu'à 325V, valeur de crête du 230V alternatif). La valeur de R1 est assez faible pour qu'elle ne chauffe pas trop de manière générale, ce qui fait aussi qu'elle ne perturbe pas significativement le fonctionnement décrit plus haut.
La résistance R2, en parallèle avec le condensateur C2, a pour rôle de décharger le condensateur lorsque tout est débranché, pour qu'il ne subsiste pas une tension de 325V dans l'appareil au-delà de quelques secondes. La valeur de R2 est élevée et elle ne perturbe pas le fonctionnement décrit plus haut.
Pour en savoir plus
Alimentation capacitive : wikipedia, astuces-pratiques, Repair Café Paris
Les quatre types d'alimentation : Repair Café Paris
Formations
Les formations à la réparation de petit électro-ménager : https://rcp5.ouvaton.org/formation
